并联电容器装置设计规范
GB50227-95
主编部门:中华人民共和国电力工业部
批准部门:中华人民共和国建设部
施行日期:一九九六年七月一日
1 总则
1.0.1 为使电力工程的并联电容器装置设计贯彻国家的技术经济政策, 做到安全可靠、技 术先进、经济合理和运行检修方便,制订本规范。
1.0.2 本规范适用于 220KV 及以下变电所、配电所中无功补偿用三相交流高压、低压并 联电容器装置的新建、扩建工程设计。
1.0.3 并联电容器装置的设计,应根据安装地点的电网条件、补偿要求、环境状况、运行 检修要求和实践经验,确定补偿容量、选择接线、保护与控制、布置及安装方式。
1.0.4 并联电容器装置的设备选型,应符合国家现行的产品标准的规定。
1.0.5 并联电容器装置的设计,除应执行本规范的规定外,尚应符合国家现行的有关标准 和规范的规定。
2 术语、符号、代号
2.1 术语
2.1.1 高压并联电容器装置 installation of high voltage shunt capacitors
由高压并联电容器和相应的一次及二次配套设备组成,可独立运行或并联运行的装置。
2.1.2 低压并联电容器装置 installation of low voltage shunt capacitors
由低压并联电容器和相应的一次及二次配套元件组成,可独立运行或并联运行的装置。
2.1.3 并联电容器的成套装置 complete set of installation for shunt capacitors
由制造厂设计组装设备向用户供货的整套并联电容器装置。
2.1.4 单台电容器 capacitor unit
由一个或多个电容器元件组装于单个外壳中并有引出端子的组装体。
2.1.5 电容器组 capacitor bank
电气上连接在一起的一群单台电容器。
2.1.6 电抗率 reactance ratio
串联电抗器的感抗与并联电容器组的容抗之比,以百分数表示。
2.1.7 放电器、放电元件 discharge device、discharge component
装在电容器内部或外部的,当电容器从电源脱开后能将电容器端子间的电压在规定时间内降 低到规定值的设备或元件。
2.1.8 串联段 series section
在多台电容器连接组合中,相互并联的单台电容器群。
2.1.9 剩余电压 residual voltage
单台电容器或电容器组脱开电源后,电容器端子间或电容器组端子间残存的电压。
2.1.10涌流 inrush transient current
电容器组投入电网时的过渡过电流。
2.1.11 外熔丝 external fuses
装于单台电容器外部并与其串联连接,当电容器发生故障时用以切除该电容器的熔丝。
2.1.12 内熔丝 internal fuses
装于单台电容器内部与元件或元件组串联连接,当元件发生故障时用以切除该元件或元件组 的熔丝。
2.1.13 放电容量 discharging capacity
放电器允许连接的电容器组的容量。
2.1.14 不平衡保护 unbalance protection
利用电容器组内两个相关部分之间的电容量之差形成的电流差或电压差构成的保护。
2.2 符号
|
序号 |
符号 |
含义 |
|
2.2.1 |
Qcx |
发生n次谐波谐振的电容器容量 |
|
2.2.2 |
Sd |
并联电容器装置安装处的母线短路容量 |
|
2.2.3 |
N |
谐波次数 |
|
2.2.4 |
K |
电抗率 |
|
2.2.5 |
I*ym |
涌流峰值的标么值 |
|
2.2.6 |
β |
涌流计算中计及的电源影响系数 |
|
2.2.7 |
Q |
电容器组容量 |
|
2.2.8 |
Uc |
电容器端子运行电压 |
|
2.2.9 |
Us |
并联电容器装置的母线电压 |
|
2.2.10 |
S |
电容器组每相的串联段数 |
2.3 代号
| 序号 | 代号 | 含义 |
| 2.3.1 | C | 电容器组 |
| 2.3.2 | 1C、2C、3C | 并联电容器装置分组回路编号 |
| 2.3.3 | C1、C2、Cn | 单台电容器编号 |
| 2.3.4 | L | 串联电抗器或限流线圈 |
| 2.3.5 | QS | 隔离开关或刀开关 |
| 2.3.6 | QF | 断路器 |
| 2.3.7 | QG | 接地开关 |
|
2.3.8 |
TA | 电流互感 |
| 2.3.9 | TV | 放电器、放电元件 |
| 2.3.10 | FV | 避雷器 |
| 2.3.11 | FU | 熔断器 |
| 2.3.12 | KM | 交流接触器 |
| 2.3.13 | KA | 热继电器 |
| 2.3.14 | HL | 指示灯 |
| 2.3.15 | Uo | 开口三角电压 |
| 2.3.16 | ΔU | 相不平衡电压 |
| 2.3.17 | ΔI | 桥差电流 |
| 2.3.18 | Io | 中性点不平衡电流 |
3 接入电网基本要求
3.0.1 高压并联电容器装置接入电网的设计,应按全面规划、合理布局、分级补偿、就地 平衡的原则确定最优补偿容量和分布方式。
3.0.2 变电所里的电容器安装容量,应根据本地区电网无功规划以及国家现行标准《电力 系统电压和无功电力技术导则》和《全国供用电规则》的规定计算后确定。当不具备设计计 算条件时,电容器安装容量可按变压器容量的 10%~30%确定。
3.0.3 电容器分组容量,应根据加大单组容量、减少组数的原则确定。
当分组电容器按各种容量组合运行时,不得发生谐振,且变压器各侧母线的任何一次谐 波电压含量不应超过现行的国家标准《电能质量-公用电网谐波》的有关规定。
谐振电容器容量,可按下式计算:

式中Qcx——发生n次谐波谐振的电容器容量(Mvar);
Sd——并联电容器装置安装处的母线短路容量(MVA);
n——谐波次数,即谐波频率与电网基波频率之比;
K——电抗率。
3.0.4 高压并联电容器装置应装设在变压器的主要负荷侧。当不具备条件时,可装设在三 绕组变压器的低压侧。
3.0.5 当配电所中无高压负荷时,不得在高压侧装设并联电容器装置。低压并联电容器装 置的安装地点和装设容量,应根据分散补偿和降低线损的原则设置。补偿后的功率因数应符 合现行国家标准《全国供用电规则》的规定。
4 电气接线
4.1 接线方式
4.1.1 高压并联电容器装置,在同级电压母线上无供电线路和有供电线路时,可采用各分 组回路直接接入母线,并经总回路接入变压器的接线方式(图 A.0.1-1 和图 A.0.1-2)。当 同级电压母线上有供电线路,经技术经济比较合理时,可设置电容器专用母线的接线方式(图 A.0.1-3)。
4.1.2 高压电容器组的接线方式,应符合下列规定:
4.1.2.1 电容器组宜采用单星形接线或双星形接线。在中性点非直接接地的电网中,星形接 线电容器组的中性点不应接地。
4.1.2.2 电容器组的每相或每个桥臂,由多台电容器串联组合时,应采用先并联后串联的接 线方式。
4.1.3 低压电容器或电容器组,可采用三角形接线或中性点不接地的星形接线方式。
4.2 配套设备及其连接
4.2.1 高压并联电容器装置的分组回路,可采用高压电容器组与配套设备连接的方式(图 A.0.2),并装设下列配套设备:
(1)隔离开关、断路器或跌落式熔断器等设备。
(2)串联电抗器。
(3)操作过电压保护用避雷器。
(4)单台电容器保护用熔断器。
(5)放电器和接地开关。
(6)继电保护、控制、信号和电测量用一次设备及二次设备。
4.2.2 低压并联电容器装置接线(图 A.0.3)宜装设下列配套元件;当采用的交流接触器 具有限制涌流功能和电容器柜有谐波超值保护时,可不装设相应的限流线圈和热继电器。 (1)总回路刀开关和分回路交流接触器或功能相同的其他元件。
(2)操作过电压保护用避雷器。
(3)短路保护用熔断器。
(4)过载保护用热继电器。
(5)限制涌流的限流线圈。
(6)放电器件。
(7)谐波含量超限保护、自动投切控制器、保护元件、信号和测量表计等配套器件。
4.2.3 串联电抗器宜装设于电容器组的中性点侧。当装设于电容器组的电源侧时,应校验 动稳定电流和热稳定电流。
4.2.4 当电容器配置熔断器时,应每台电容器配一只喷逐式熔断器;严禁多台电容器共用 一只喷逐式熔断器。
4.2.5 当电容器的外壳直接接地时,熔断器应接在电容器的电源侧。
当电容器装设于绝缘框(台)架上且串联段数为二段及以上时,至少应有一个串联段的 熔断器接在电容器的电源侧。
4.2.6 电容器组应装设放电器或放电元件。
4.2.7 放电器宜采用与电容器组直接并联的接线方式。当放电器采用星形接线时,中性点 不应接地。
4.2.8 低压电容器组装设的外部放电器件,可采用三角形接线或不接地的星形接线,并直 接与电容器连接。
4.2.9 高压电容器组的电源侧和中性点侧,宜设置检修接地开关。
4.2.10 高压并联电容器装置的操作过电压保护和避雷器接线方式,应符合下列规定:
4.2.10.1 高压并联电容器装置的分组回路,宜设置操作过电压保护。
4.2.10.2 当断路器仅发生单相重击穿时,可采用中性点避雷器接线方式(图 A.0.4-1 ),或 采用相对地避雷器接线方式(图A.0.4 -2)。
4.2.10.3 断路器出现两相重击穿的概率极低时,可不设置两相重击穿故障保护。当需要限制 电容器极间和电源侧对地过电压时,其保护方式应符合下列规定:
(1 )电抗率为 12%及以上时,可采用避雷器与电抗器并联连接和中性点避雷器接线的方 式(图 A.0.4 -3)。
(2)电抗率不大于 1%,可采用避雷器与电容器组并联连接和中性点避雷器接线的方式(图 A.0.4-4)。
(3)电抗率为 4.5%~6%时,避雷器接线方式宜经模拟计算研究确定。
5 电器和导体的选择
5.1 一般规定
5.1.1 并联电容器装置的设备选型,应根据下列条件选择:
(1)电网电压、电容器运行工况。
(2)电网谐波水平。
(3)母线短路电流。
(4)电容器对短路电流的助增效应。
(5)补偿容量及扩建规划、接线、保护和电容器组投切方式。
(6)海拔高度、气温、湿度、污秽和地震烈度等环境条件。
(7)布置与安装方式。
(8)产品技术条件和产品标准。
5.1.2 并联电容器装置的电器和导体的选择,应满足在当地环境条件下正常运行、过电压 状态和短路故障的要求。
5.1.3 并联电容器装置的总回路和分组回路的电器和导体的稳态过电流,应为电容器组额 定电流的 1.35 倍。
5.1.4 高压并联电容器装置的外绝缘配合,应与变电所、配电所中同级电压的其他电气设 备一致。
5.1.5 并联电容器成套装置的组合结构,应便于运输和现场安装。
5.2 电容器
5.2.1 电容器的选型应符合下列规定:
5.2.1.1 可选用单台电容器、集合式电容器和单台容量在 500kvar 及以上的电容器组成电容器 组。
5.2.1.2 设置在严寒、高海拔、湿热带等地区和污秽、易燃易爆等环境中的电容器,均应满 足特殊要求。
5.2.1.3 装设于屋内的电容器,宜选用难燃介质的电容器。
5.2.1.4 装设在同一绝缘框(台)架上串联段数为二段的电容器组,宜选用单套管电容器。
5.2.2 电容器额定电压的选择,应符合下列要求:
5.2.2.1 应计入电容器接入电网处的运行电压。
5.2.2.2 电容器运行中承受的长期工频过电压,应不大于电容器额定电压的 1.1 倍。
5.2.2.3 应计入接入串联电抗器引起的电容器运行电压升高,其电压升高值按下式计算:

式中Uc
——电容器端子运行电压(KV);
Us——并联电容器装置的母线电压(KV);
S——电容器组每相的串联段数。
5.2.2.4 应充分利用电容器的容量,并确保安全。
5.2.3 电容器的绝缘水平,应按电容器接入电网处的要求选取。
5.2.4 电容器的过电压值和过电流值,应符合国家现行产品标准的规定。
5.2.5 单台电容器额定容量的选择,应根据电容器组设计容量和每相电容器串联、并联的 台数确定,并宜在电容器产品额定容量系列的优先值中选取。
5.2.6 低压电容器宜采用自愈式电容器。
5.3 断路器
5.3.1 高压并联电容器装置断路器的选择,除应符合断路器有关标准外,尚应符合下列规 定:
5.3.1.1 关合时,触头弹跳时间不应大于 2ms,并不应有过长的预击穿;10KV 少油断路器的 关合预击穿时间不得超过 3.5ms。
5.3.1.2 开断时不应重击穿。
5.3.1.3 应能承受关合涌流,以及工频短路电流和电容器高频涌流的联合作用。
5.3.1.4 每天投切超过三次的断路器,应具备频繁操作的性能。
5.3.2 高压并联电容器装置总回路中的断路器,应具有切除所连接的全部电容器组和开断 总回路短路电流的能力。条件允许时,分组回路的断路器可采用不承担开断短路电流的开关 设备。
5.3.3 投切低压电容器的开关,其接通、分断能力和短路强度,应符合装设点的使用条件。 当切除电容器时,不应发生重击穿,并应具备频繁操作的性能。
5.4 熔断器
5.4.1 电容器保护使用的熔断器,宜采用喷逐式熔断器。
5.4.2 熔断器的时间-电流特性曲线,应选择在被保护的电容器外壳的 10%爆裂概率曲 线的左侧。时间-电流特性曲线的偏差,应符合国家现行标准《高压并联电容器单台保护用 熔断器订货技术条件》的有关规定。
5.4.3 熔断器的熔丝额定电流选择,不应小于电容器额定电流的 1.43 倍,并不宜大于额 定电流的 1.55 倍。
5.4.4 设计选用的熔断器的额定电压、耐受电压、开断性能、熔断特性、抗涌流能力、机 械性能和电气寿命,均应符合国家现行标准《高压并联电容器单台保护用熔断器订货技术条 件》的规定。
5.5 串联电抗器
5.5.1 串联电抗器的选型,宜采用干式空心电抗器或油浸式铁心电抗器,并应根据技术经 济比较确定。
5.5.2 串联电抗器的电抗率选择应符合下列规定:
5.5.2.1 仅用于限制涌流时,电抗率宜取 0.1%~1%。
5.5.2.2 用 于抑制谐 波 , 当并 联 电 容 器 装置 接 入 电网 处 的 背景 谐 波 为 5 次 及 以上时 , 宜 取4.4%~6%;当并联电容器装置接入电网处的背景谐波为 3 次及以上时,宜取 12%;亦可采 用 4.5%~6%与 12%两种电抗率。
5.5.3 并联电容器装置的合闸涌流限值,宜取电容器组额定电流的 20 倍;当超过时,应 采用装设串联电抗器予以限制。电容器组投入电网时的涌流计算,应符合本规范附录 B 的 规定。
5.5.4 串联电抗器的额定电压和绝缘水平,应符合接入处电网电压和安装方式要求。
5.5.5 串联电抗器的额定电流不应小于所连接的电容器组的额定电流,其允许过电流值不 应小于电容器组的最大过电流值。
5.5.6 变压器回路装设限流电抗器时,应计入其对电容器分组回路的影响和抬高母线电压 的作用。
5.6 放电器
5.6.1 当采用电压互感器作放电器时,宜采用全绝缘产品,其技术特性应符合放电器的规定。
5.6.2 放电器的绝缘水平应与接入处电网绝缘水平一致。放电器的额定端电压应与所并联 的电容器的额定电压相配合。
5.6.3 放电器的放电性能应能满足电容器组脱开电源后,在5s内将电容器组上的剩余电 压降至 50V 及以下。
5.6.4 当放电器带有二次线圈并用于保护和测量时,应满足二次负荷和电压变比误差的要求。
5.7 避雷器
5.7.1 避雷器用于限制并联电容器装置操作过电压保护时,应选用无间隙金属氧化物避雷器。
5.7.2 与电容器组并联连接的避雷器、与串联电抗器并联连接的避雷器和中性点避雷器的 参数选择,应根据工程设计的具体条件进行模拟计算确定。
5.8 导体及其他
5.8.1 单台电容器至母线或熔断器的连接线应采用软导线,其长期允许电流不应小于单台 电容器额定电流的 1.5 倍。
5.8.2 电容器组的汇流母线和均压线的导线截面应与分组回路的导体截面一致。
5.8.3 双星形电容器组的中性点连接线和桥形接线电容器组的桥连接线,其长期允许电流 不应小于电容器组的额定电流。
5.8.4 并联电容器装置的所有连接导体,应满足动稳定和热稳定的要求。
5.8.5 用于高压并联电容器装置的支柱绝缘子,应按电压等级、泄漏距离、机械荷载等技 术条件选择和校验。
5.8.6 用于高压电容器组不平衡保护的电流互感器,应符合下列要求:
5.8.6.1 额定电压应按接入处电网电压选择。
5.8.6.2 额定电流不应小于最大稳态不平衡电流。
5.8.6.3 应能耐受故障状态下的短路电流和高频涌放电流。并应采取装设间隙或装设避雷器 等保护措施。
5.8.6.4 准确等级可按继电保护要求确定。
5.8.7 用于高压电容器组不平衡保护的电压互感器,应符合下列要求:
5.8.7.1 绝缘水平应按接入处电网电压选择。
5.8.7.2 一次额定电压不得低于最大不平衡电压。
5.8.7.3 一次线圈作电容器的放电回路时,应满足放电容量要求。
5.8.7.4 准确等级可按电压测量要求确定。
6 保护装置和投切装置
6.1 保护装置
6.1.1 电容器故障保护方式应根据各地的实践经验配置。
6.1.2 电容器组应装设不平衡保护,并应符合下列规定:
6.1.2.1 单星形接线的电容器组,可采用开口三角电压保护(图 A.0.5 -1)。
6.1.2.2 串联段数为二段及以上的单星形电容器组;可采用电压差动保护(图 A.0.5 -2)。
6.1.2.3 每相能接成四个桥臂的单星形电容器组,可采用桥式差电流保护(图 A.0.5 -3)。
6.1.2.4 双星形接线电容器组,可采用中性点不平衡电流保护(图A.0.5 -4)。
采用外熔丝保护的电容器组,其不平衡保护应按单台电容器过电压允许值整定。采用内 熔丝保护和无熔丝保护的电容器组,其不平衡保护应按电容器内部元件过电压允许值整定。
6.1.3 高压并联电容器装置可装设带有短延时的速断保护和过流保护,保护动作于 跳闸。速断保护的动作电流值,在最小运行方式下,电容器组端部引线发生两相短路时,保护的灵敏系数应符合要求;动作时限应大于电容器组合闸涌流时间。过电流保护装置的动作 电流,应按大于电容器组允许的长期最大过电流整定。
6.1.4 高压并联电容器装置宜装设过负荷保护,带时限动作于信号或跳闸。
6.1.5 高压并联电容器装置应装设母线过电压保护,带时限动作于信号或跳闸。
6.1.6 高压并联电容器装置应装设母线失压保护,带时限动作于跳闸。
6.1.7 容量为 0.18MVA 及以上的油浸式铁心串联电抗器宜装设瓦斯保护。轻瓦斯动作于 信号,重瓦斯动作于跳闸。
6.1.8 低压并联电容器装置,应有短路保护、过电压保护、失压保护。并宜有过负荷保护 或谐波超值保护。
6.2 投切装置
6.2.1 高压并联电容器装置可根据其在电网中的作用、设备情况和运行经验选择自动投切 或手动投切方式,并应符合下列规定:
6.2.1.1 兼负电网调压的并联电容器装置,可采用按电压、无功功率及时间等组合条件的自 动投切。
6.2.1.2 变电所的主变压器具有有载调压装置时,可采用对电容器组与变压器分接头进行综 合调节的自动投切。
6.2.1.3 除上述之外变电所的并联电容器装置,可分别采用按电压、无功功率(电流)、功率 因数或时间为控制量的自动投切。
6.2.1.4 高压并联电容器装置,当日投切不超过三次时,宜采用手动投切。
6.2.2 低压并联电容器装置应采用自动投切。自动投切的控制量可选用无功功率、电压、 时间、功率因数。
6.2.3 自动投切装置应具有防止保护跳闸时误合电容器组的闭锁功能,并根据运行需要应 具有的控制、调节、闭锁、联络和保护功能;应设改变投切方式的选择开关。
6.2.4 并联电容器装置,严禁设置自动重合闸。
7 控制回路、信号回路和测量仪表
7.1 控制回路和信号回路
7.1.1 220KV 变电所的并联电容器装置,宜在主控制室内控制,其他变电所和配电所的 并联电容器装置,可就地控制。
7.1.2 高压并联电容器装置的断路器,宜采用一对一的控制方式,其控制回路,应具有防 止投切设备跳跃的闭锁功能。
7.1.3 压并联电容 器装 置的断 路器与相应的隔离开关和接 地开关之间,应设置闭锁装置。
7.1.4 高压并联电容器装置,应设置断路器的位置信号、运行异常的预告信号和事故跳闸 的信号。
7.1.5 低压并联电容器装置,应具有电容器投入和切除的信号。
7.2 测量仪表
7.2.1 高压并联电容器装置所连接的母线,应有一只切换测量线电压的电压表。
7.2.2 高压并联电容器装置的总回路,应装设无功功率表、无功电度表及每相一只电流表。
7.2.3 当总回路下面连接有并联电容器和并联电抗器时,总回路应装设双方向的无功功率 表,并应装设分别计量容性和感性的无功电度表。
7.2.4 高压并联电容器装置的分组回路中,可仅设一只电流表。
当并联电容器装置和供电线路同接一条母线时,宜在高压并联电容器装置的分组回路中 装设无功电度表。
7.2.5 低压并联电容器装置,应具有电流表、电压表及功率因数表。
8 布置和安装设计
8.1 一般规定
8.1.1 高压并联电容器装置的布置和安装设计,应利于分期扩建、通风散热、运行巡视、 便于维护检修和更换设备。
8.1.2 高压并联电容器装置的布置型式,应根据安装地点的环境条件、设备性能和当地实 践经验,选择屋外布置或屋内布置。一般地区宜采用屋外布置;严寒、湿热、风沙等特殊地 区和污秽、易燃易爆等特殊环境宜采用屋内布置。
采用屋外布置;严寒、湿热、风沙等特殊地区和污秽、易燃易爆等特殊环境宜采用屋内 布置。
屋内布置的并联电容器装置,应设置防止凝露引起污闪事故的措施。
8.1.3 低压并联电容器装置的布置型式,应根据设备适用的环境条件确定采用屋内布置或 屋外布置。
8.1.4 屋内高压并联电容器装置和供电线路的开关柜,不宜同室布置。
8.1.5 低压电容器柜和低压配电屏可同室布置,但宜将电容器柜布置在同列屏柜的端部。
8.1.6 高压并联电容器装置中的铜、铝导体连接,应采取装设铜铝过渡接头等措施。
8.1.7 电容器组的框(台)架、柜体结构件、串联电抗器的支(台)架等钢结构构件,应 采取镀锌或其他有效的防腐措施。
8.1.8 高压电容器组下部地面和周围地面的处理,宜符合下列规定:
8.1.8.1 在 屋 外 电 容 器 组 外 廓 1m 范 围 内的 地 面 上 , 宜 铺 设 卵 石层 或 碎 石 层 , 其 厚 度 应为100mm,并不得高于周围地坪。
8.1.8.2 屋内电容器组下部地面,应有防止液体溢流措施。屋内其他部分可采用混凝土地面; 面层宜采用水泥沙浆抹面并压光。
8.1.9 低压电容器室地面,宜采用混凝土地面;面层宜采用水泥沙浆抹面并压光。
8.1.10 电容器的屋面防水标准,不得低于屋内配电装置室。
8.2 高压电容器组的布置和安装设计
8.2.1 电容器组的布置,宜分相设置独立的框(台)架。当电容器台数较少或受到场地限 制时,可设置三相共用的框架。
8.2.2 分层布置的电容器组框(台)架,不宜超过三层,每层不应超过两排,四周和层间 不得设置隔板。
8.2.3 电容器组的安装设计最小尺寸,应符合表 8.2.3 的规定。
表 8.2.3 电容器组安装设计最小尺寸(mm)
| 名称 | 电容器(屋外、屋内) | 电容器底部距地面 | 框(台)架顶部 至顶棚净距 |
||
| 间距 | 排间距离 | 屋外 | 屋内 | ||
| 最小尺寸 | 100 | 200 | 300 | 200 | 1000 |
8.2.4 屋内外布置的电容器组,在其四周或一侧应设置维护通道,其宽度不应小于 1.2m。 当电容器双排布置时,框(台)架和墙之间或框(台)架相互之间可设置检修走道,其宽度 不宜小于 1m。
注:
①维护通道系指正常运行时巡视、停电后进行维护检修和更换设备的通道。
②检修走道系指停电后维护检修工作使用的走道。
8.2.5 电容器组的绝缘水平,应与电网绝缘水平相配合。当电容器与电网绝缘水平一致时, 应将电容器外壳和框(台)架可靠接地;当电容器的绝缘水平低于电网时,应将电容器安装 在与电网绝缘水平相一致的绝缘框(台)架上,电容器的外壳应与框(台)架可靠连接。
8.2.6 电容器套管相互之间和电容器套管至母线或熔断器的连接线,应有一定的松弛度。 严禁直接利用电容器套管连接或支承硬母线。单套管电容器组的接壳导线,应采用软导
线由接壳端子上引接。
8.2.7 电容器 组三相 的任何 两个 线路 端子之间的 最 大与最 小电容之 比和电 容器组 每 组各 串联段之间的最大与最小电容之比,均不宜超过 1.02。
8.2.8 当并联电容器装置未设置接地开关时,应设置挂接地线的母线接触面和地线连接端子。
8.2.9 电容器组的汇流母线应满足机械强度的要求,防止引起熔断 器至母线的连接线松弛。
8.2.10 熔断器的装设位置和角度,应符合下列要求:
8.2.10.1 应装设在有通道一侧。
8.2.10.2 严禁垂直装设。装设角度和弹簧拉紧位置,应符合制造厂的产品技术要求。
8.2.10.3 熔丝熔断后,尾线不应搭在电容器外壳上。
8.2.11 并联电容器装置,可根据周围环境中鸟类、鼠、蛇类等小动物活动的情况,设置防 侵袭的封堵、围栏和网栏等设施。
8.3 串联电抗器的布置和安装设计
8.3.1 油浸式铁心串联电抗器,宜布置在屋外;当污秽较重的工矿企业区采用普通设备时, 应布置在屋内。屋内安装的油浸式铁心串联电抗器,其油量超过 100kg 时,应单独设置防爆 间隔和贮油设施。
8.3.2 干式空心串联电抗器,宜采用屋外分相布置的水平排列或三角形排列。三相叠装时 的安装设计顺序,应符合制造厂规定。
8.3.3 串联电抗器的对地绝缘水平低于电网时,应将其安装在与电网绝缘水平一致的绝缘台上。
8.3.4 干式空心串联电抗器对其四周、上部、下部和基础中的金属构件的距离,以及形成 闭合回路的金属构件的距离,均应满足防电磁感应的要求。
8.3.5 干式空心串联电抗器的支承绝缘子接地,应采用放射形或开口环形,并应与主接地 网至少有两点相连。
8.3.6 干式空心串联电抗器组装的零部件,宜采用不锈钢螺栓连接;当采用矩形母线与相 邻设备连接时,矩形母线安装应立放。
9 防火和通风
9.1 防火
9.1.1 屋外高压并联电容器装置与其他建筑物或主要电气渗备之间的防火净距,应与相应 电压等级的配电装置的规定一致;当不能满足规定时,应设防火墙。当相邻的建筑物外墙为 防火墙时,防火净距可不受限制。当与其他建筑物连接布置时,其间应设防火墙;防火墙及 两侧 2m 以内的范围,不得开门窗及孔洞。
当高压并联电容器装置设在屋内时,该建筑物的楼板、隔墙、门窗和孔洞均应满足防火 要求。
9.1.2 高压、低压并联电容器装置的消防设施和防火通道,应符合下列要求:
9.1.2.1 必须就近设置消防设施。
9.1.2.2 连接于不同主变压器的屋外高压大容量电容器装置之间,宜设置消防通道。
9.1.3 电容器组的框(台)架和柜体,均应采用非燃烧或难燃烧的材料制作。
9.1.4 电容器室应为丙类生产建筑,其建筑物的耐火等级不应低于二级。
9.1.5 当高压电容器室的长度超过 7m 时,应设两个出口。高压电容器室的门应向外开。 相邻两高压电容器室之间的隔墙需开门时,应采用乙级防火门,并应能向两面开启。高压电 容器室,不宜设置采光玻璃窗。
9.1.6 与电容器组相关的沟道,应符合下列规定:
9.1.6.1 高压电容器室通向屋外的沟道,在屋内外交接处应采用防火封堵。
9.1.6.2 电缆沟道的边缘对高压电容器组框(台)架外廓的距离,不宜小于 2m;引至电容器 组处的电缆,应采用穿管敷设。
9.1.6.3 低压电容器室内的沟道盖板,不应采用可燃烧材料制作。
9.1.7 集合式并联电容器,应设置贮油池或挡油墙,并不得把浸渍剂和冷却油散逸到周围 环境中。
9.1.8 高压并联电容器装置,在北方地区,宜布置在变电所冬季最大频率风向的下风侧; 南方地区,宜布置在变电所常年最大频率风向的下风侧。
9.2 通风
9.2.1 高压电容器室的通风量,应按消除室内余热计算,余热量包括设备散热量和通过围 护结构传入的太阳辐射热。
9.2.2 高压电容器室的夏季排风温度,不宜超过 40℃。
9.2.3 串联电抗器小间的通风量,应按消除室内余热计算,但余热量不计入太阳辐射热; 排风温度不宜超过 45℃,进排风温度差不宜超过 15℃。
9.2.4 高压并联电容器装置室,宜采用自然通风。当自然通风不能满足要求时,可采用自 然进风和机械排风。
9.2.5 高压并联电容器室的进排风口,应采取防止鸟类、鼠、蛇类等小动物进入和防雨雪 飘进的措施。
9.2.6 在风沙较大地区,高压电容器室应设置防尘措施;进风口宜设置过滤装置。
9.2.7 高压并联电容器装置的布置,应减少太阳辐射热对电容器的影响,并宜布置在夏季 通风良好的方向上。
9.2.8 应根据当地的气温条件,在高压电容器室的屋面设置保温层或隔热层。
附录 A 并联电容器装置接线图例
A.0.1 接入电网方式(图 A.0.1 -1~图 A.0.1 -3)。


A.0.2 高压电容器组与配套设备连接(图 A.0.2 )。

注:避雷器接线根据工程设计选定的方式接入。
A.0.3 低压并联电容器装置接线(图A.0.3)。

注:C2~Cn回路均与C1 回路相同。
A.0.4 操作过电压保护用避雷器接线方式(图 A.0.4 -1~A.0.4-4)。


A.0.5 高压电容器组保护接线(图 A.0.5 -1~A.0.5-4)。

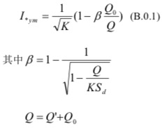
附录 B 电容器组投入电网时的涌流计算
B.0.1 同一电抗率的电容器组单组投入或追加投入时,涌流应按下列公式计算:

式中I*ym
——涌流峰值的标么值(以投入的电容器组额定电流峰值为基准值);
Q——电容器组总容量(Mvar);
Qo——正在投入的电容器组容量(Mvar);
Q——所有原已运行的电容器组容量(Mvar);
β——电源影响系数。

在线客服热线电话
400 003 8996
地址:深圳市福田区莲花街道梅岭社区新闻路59号深茂商业中心10A-B87
邮箱:oslamchn@sina.com